
DMK School Education Minister Anbil Mahesh Poyyamozhi released a video on his social media claiming that the Union Government’s UDISE+ data confirms Tamil Nadu ranks first in India for women’s higher education enrollment, and that the percentage of girls going to college after school rose from 49.8% to 76% due to the Pudhumai Penn scheme.
However, every major element of this claim is wrong.
In the video, he said, “A joyful and proud piece of news has arrived. The Union Government itself has stated that Tamil Nadu ranks first in the entire country for women’s enrolment in higher education. The secret success behind this achievement is the Pudhumai Penn (New Woman) Scheme. Our Chief Minister was a pioneer for the entire nation by introducing the Pudhumai Penn scheme for women’s education. Now, it is not us saying that the Pudhumai Penn scheme has achieved tremendous success – it is the Union Government that has said so. The increase in the number of girls from Tamil Nadu who go on to college after completing school has been reported by the Unified District Information System for Education Plus (UDISE+) – the Union Government’s information system for school education. The percentage of girls going to college was 49.8% in the academic year 2020–21. After implementing women’s advancement schemes like Pudhumai Penn, this figure has risen to 76% in the academic year 2024–25. Tamil Nadu stands first in the entire Indian Union in this regard.”
He added, “To put it simply – this is the Dravidian Model. These are the real success stories of the Dravidian Model. Dravidian Model 2.0 governance is about to begin soon. At that time, our Hon’ble Chief Minister will ensure that 100% of girls go to college. Our Hon’ble Chief Minister says, “If one woman receives education, five generations of that family will rise.” In that regard, it is true that the women of Tamil Nadu are going to lead the world.”
In this article, we debunk all the claims he makes.
UDISE+ Tracks School Data – Anbil Mahesh Mixes up Higher Secondary With Higher Education
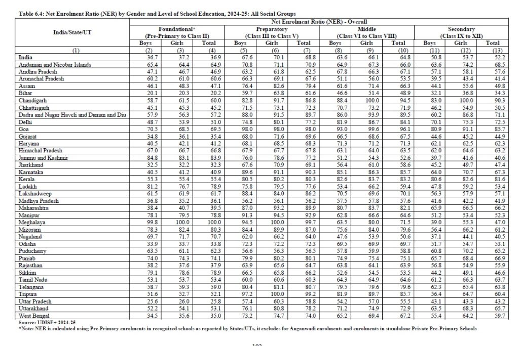
The UDISE+ 2024-25 report, the very document the minister held up as his source, opens with an unambiguous statement of its scope. It covers “all recognized schools in the country” tracking data from Foundational (Pre-Primary to Class 2) through Secondary (Class 9 to Class 12). The report explicitly states its framework ends at Grade 12. It has no mechanism to track students who transition to colleges or universities.
The UDISE+ 2024-25 report further notes that with effect from 2024-25, the school ecosystem is reclassified into four levels: Foundational, Preparatory, Middle, and Secondary – aligned with NEP 2020. There is no separate “Higher Secondary” category in this report. Grades 11 and 12 are subsumed within the broader “Secondary” (Class 9–12) grouping. A standalone “Higher Secondary NER” figure does not appear in the said document.
The institution responsible for tracking college and university enrollment is AISHE – the All India Survey on Higher Education, a separate body under the Ministry of Education. The AISHE 2021-22 report, the most recent published, defines its scope as “Higher Education Institutions” including universities, colleges, and standalone institutions. These are two completely separate data systems.
The 76% Figure: What the UDISE+ 2024-25 Report Actually Shows
The minister stated that the percentage of girls going to college after school rose from 49.8% to 76%.
The UDISE+ 2024-25 report’s Table 6.1 (Gross Enrolment Ratio by Gender) shows Tamil Nadu’s overall Secondary GER (Classes 9–12) at 89, placing it 8th nationally behind Chandigarh (109), Goa (101), Puducherry (97), Kerala (94), Himachal Pradesh (94), Delhi (92), and Andaman & Nicobar Islands (89).

The national Secondary NER for girls across India in 2024-25, per Table 6.4 of the same report, is 53.7%.

A state-level Tamil Nadu girls’ NER of 76%, significantly exceeding even the national GER for girls at the secondary level (70.5%), is an extraordinary claim that cannot be verified anywhere in the document’s tables.
Critically, whatever figure is being discussed, it refers to school retention at Class 9–12 level, not college admission. The minister’s verbal translation of this into “girls going to college after school” has no basis in what UDISE+ measures.
Tamil Nadu’s Actual Higher Education Standing: AISHE 2021-22
The only authoritative data for higher education enrollment comes from AISHE. The AISHE 2021-22 report’s Table 19 (State-wise Gross Enrolment Ratio in Higher Education for age group 18-23 years) shows the following for Tamil Nadu:

Category GER
Male 46.8%
Female 47.3%
Total 47.0%
The states with higher overall GER than Tamil Nadu, per the same table, are:
State/UT GER
Chandigarh 64.8%
Puducherry 61.5%
Delhi 49.0%
Tamil Nadu 47.0%
Tamil Nadu ranks fourth in the country for higher education GER, not first. The minister’s claim that “the Union Government confirmed Tamil Nadu ranks first in India for women’s higher education enrollment” is directly contradicted by the above table in AISHE 2021-22.
No Post-2022 AISHE Data Exists
The AISHE 2021-22 report’s foreword confirms it is the most recent published survey. No AISHE data exists for 2022-23, 2023-24, or 2024-25. Any claim about Tamil Nadu’s current national ranking in women’s higher education enrollment therefore has no Union Government source to draw from. A ranking that does not appear in any published government document cannot be described as something “the Union Government has stated.”
A Critical Methodological Impossibility
Under the new NEP 2020-aligned structure adopted by UDISE+ from 2024-25 onwards, the report itself notes: “UDISE 2022-23 data is not strictly comparable with previous reports on various educational indicators like GER, NER, dropout rates etc.” The report further states that data now reflects individual student-wise tracking, which is “totally different, unique and incomparable to 2021-22 or prior years.”
This means the minister’s baseline figure of 49.8% from 2020-21 cannot be validly compared with any 2024-25 figure from UDISE+ – the methodologies are structurally incompatible by the report’s own admission. The comparison of 49.8% (2020-21) to 76% (2024-25) is not just a misinterpretation – it compares data from two systems that the Union Government’s own document says cannot be compared.
The Scheme Attribution Has No Evidentiary Basis
Pudhumai Penn is a scheme that provides a monthly stipend of ₹1,000 to girls from government schools to pursue college education. Even setting aside all the above errors, the metric being discussed, school enrollment retention in Classes 9-12, is not a college-admission outcome. The scheme is designed to incentivize a post-school transition. Crediting a college scholarship for a school enrollment metric is a logical non-sequitur.
The genuine improvement in Tamil Nadu’s school retention rate at the Class 9–12 level, whatever its actual value, is a school-level metric. Every interpretive layer the minister added beyond that, including the source, the meaning, the ranking, and the causal attribution, is unsupported by or directly contradicted by the official documents he cited.
Subscribe to our channels on Telegram, WhatsApp, and Instagram and get the best stories of the day delivered to you personally.



